Упр.19.31 ГДЗ Мордкович Семенов 11 класс (Алгебра)
Решение #1 (Учебник 2025)

Рассмотрим вариант решения задания из учебника Мордкович, Семенов, Александрова 11 класс, Просвещение:
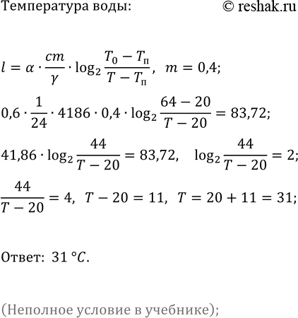
Во время отопительного сезона горячая вода, проходя по трубе длиной l м, охлаждается от начальной температуры T_0 °C до температуры T °C. Длина l вычисляется по формуле l = (? · cm / ?) · ln((T_0 - T_п) / (T - T_п)), где ? = 0,6 — постоянная, ? = 24 Вт / (м · °C) — коэффициент теплообмена, c = 4186 Дж / (кг · °C) — удельная теплоёмкость воды, T_п °C — температура отапливаемого помещения. Найдите, до какой температуры охладится вода, если T_0 = 64 °C, T_п = 20 °C, l = 83,72 м.
Похожие решебники
Популярные решебники 11 класс Все решебники
*К сожалению, временные проблемы с публикацией комментариев с мобильных устройств.