Упр.185 ГДЗ Мерзляк 8 класс (Алгебра)
Решение #1
Решение #2
Решение #3

Рассмотрим вариант решения задания из учебника Мерзляк, Полонская, Якир 8 класс, Вентана-Граф:
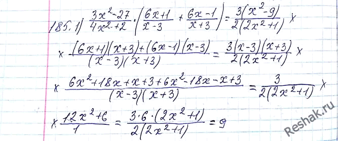
185. Докажите, что значение выражепия не зависит от значения входящей в него переменной:
1) (3x2-27)/(4x2+2) * ((6x+1)/(x-3) + (6x-1)/(x+3));
Похожие решебники
Популярные решебники 8 класс Все решебники
*размещая тексты в комментариях ниже, вы автоматически соглашаетесь с пользовательским соглашением