Упр.191 ГДЗ Мерзляк Полонский 8 класс (Алгебра)
Решение #1 (Учебник 2025)
Решение #2 (Учебник 2019)
Решение #3 (Учебник 2019)

Рассмотрим вариант решения задания из учебника Мерзляк, Полонская, Якир 8 класс, Просвещение:
Решите уравнение:
1) (3x - 1)(4х + 5) - (2х + 3)(6х + 1) = 4;
2) 8х(2х + 7) - (4х + 3)2 = 15.
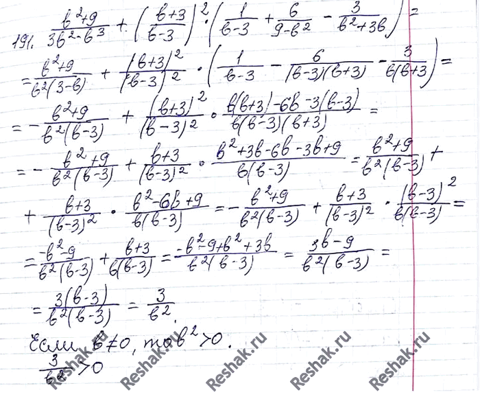
Докажите, что при всех допустимых значениях переменной выражение (b2+9)/(3b2-b3) + ((b+3)/(b-3))2 * (1/(b-3) + 6/(9-b2) - 3/(b2+3b) принимает положительпые значения.
Похожие решебники
Популярные решебники 8 класс Все решебники
*К сожалению, временные проблемы с публикацией комментариев с мобильных устройств.