Упр.190 ГДЗ Мерзляк Полонский 8 класс (Алгебра)
Решение #1 (Учебник 2025)
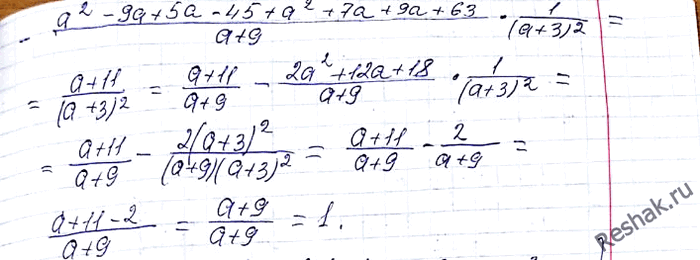
Решение #2 (Учебник 2025)
Решение #3 (Учебник 2019)
Решение #4 (Учебник 2019)

Рассмотрим вариант решения задания из учебника Мерзляк, Полонская, Якир 8 класс, Просвещение:
Подставьте вместо х данное выражение и упростите полученное выражение:
1) (x-a)/(x-b), если x = ab/(a+b);
2) (a-bx)/(b+ax), если x = (a-b)/(a+b).
Докажите тождество:
Похожие решебники
Популярные решебники 8 класс Все решебники
*К сожалению, временные проблемы с публикацией комментариев с мобильных устройств.