Упр.181 ГДЗ Мерзляк 8 класс (Алгебра)
Решение #1
Решение #2
Решение #3

Рассмотрим вариант решения задания из учебника Мерзляк, Полонская, Якир 8 класс, Вентана-Граф:
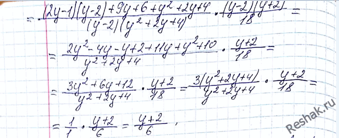
181. Упростите выражение:
1) (x2+14x+49)/(x+6) : (13/(x+6) - x + 6);
2) (c - (2c-9)/(c+8) : (c2+3c)/(c2-64) + 24/c;
Похожие решебники
Популярные решебники 8 класс Все решебники
*размещая тексты в комментариях ниже, вы автоматически соглашаетесь с пользовательским соглашением