Упр.179 ГДЗ Мерзляк 8 класс (Алгебра)
Решение #1
Решение #2
Решение #3

Рассмотрим вариант решения задания из учебника Мерзляк, Полонская, Якир 8 класс, Вентана-Граф:
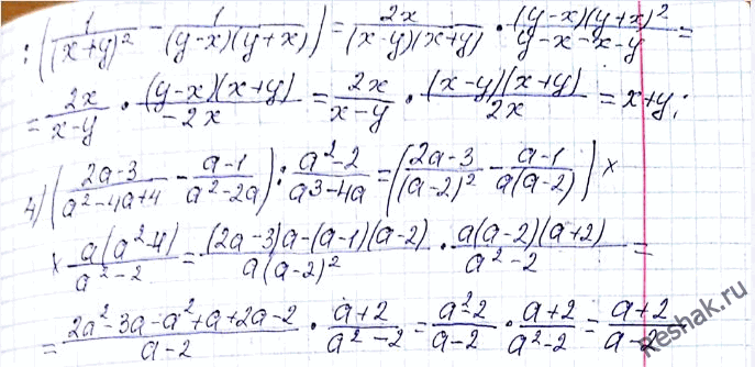
179. Выполните действия:
1) (b+4)/(b2-6b+9) : (b2-16)/(2b-6) - 2/(b-4);
2) ((m-1)/(m+1) - (m+1)/(m-1)) : 4m/(m2-1);
Похожие решебники
Популярные решебники 8 класс Все решебники
*размещая тексты в комментариях ниже, вы автоматически соглашаетесь с пользовательским соглашением