Упр.16.6 ГДЗ Мерзляк 10 класс Углубленный уровень (Алгебра)
Решение #1

Рассмотрим вариант решения задания из учебника Мерзляк, Номировский, Поляков 10 класс, Просвещение:
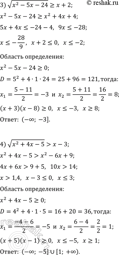
16.6. Решите неравенство:
1) v(x+2) > x; 3) v(x^2-5x-24)?x+2;
2) v(2x+14) > x+3; 4) v(x^2+4x-5) > x-3.
Похожие решебники
Популярные решебники 10 класс Все решебники
*размещая тексты в комментариях ниже, вы автоматически соглашаетесь с пользовательским соглашением