Упр.16.3 ГДЗ Мерзляк 10 класс Углубленный уровень (Алгебра)
Решение #1

Рассмотрим вариант решения задания из учебника Мерзляк, Номировский, Поляков 10 класс, Просвещение:
16.3. Решите неравенство:
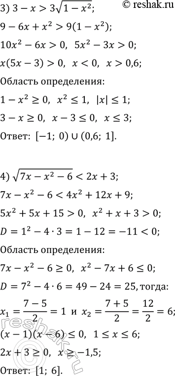
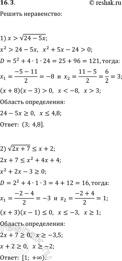
1) x > v(24-5x); 3) 3-x > 3v(1-x^2);
2) v(2x+7)?x+2; 4) v(7x-x^2-6) < 2x+3.
Похожие решебники
Популярные решебники 10 класс Все решебники
*размещая тексты в комментариях ниже, вы автоматически соглашаетесь с пользовательским соглашением