Упр.16.10 ГДЗ Мерзляк 10 класс Углубленный уровень (Алгебра)
Решение #1

Рассмотрим вариант решения задания из учебника Мерзляк, Номировский, Поляков 10 класс, Просвещение:
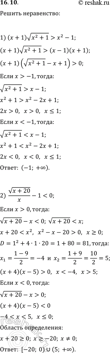
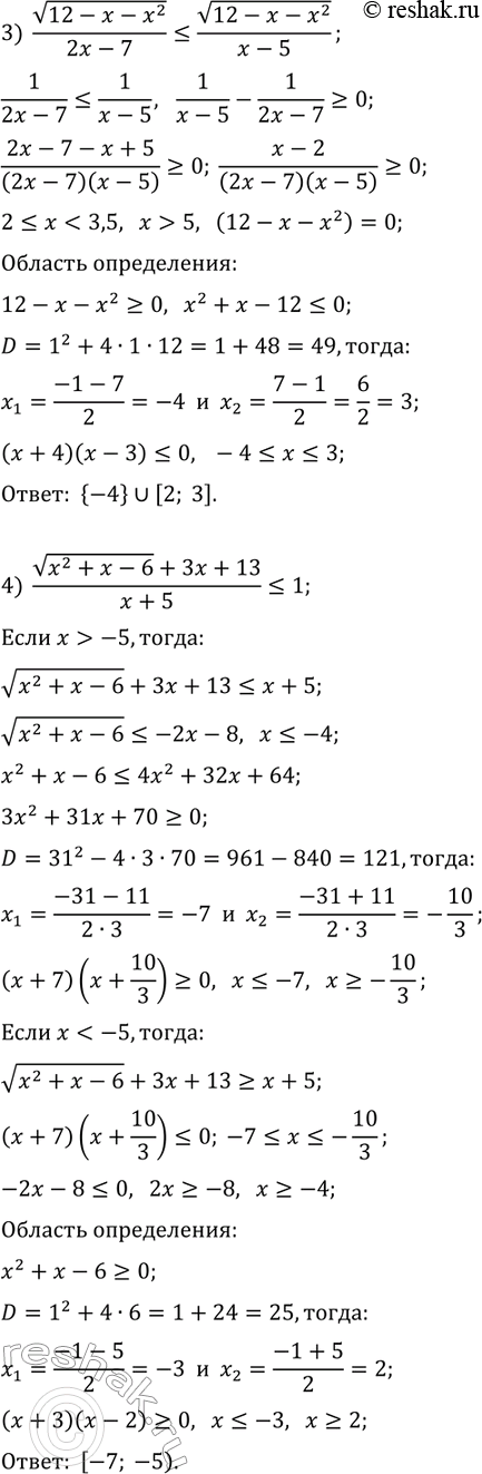
16.10. Решите неравенство:
1) (x+1)v(x^2+1) > x^2-1; 3) v(12-x-x^2)/(2x-7)?v(12-x-x^2)/(x-5);
2) v(x+20)/x-1 < 0; 4) (v(x^2+x-6)+3x+13)/(x+5)?1.
Похожие решебники
Популярные решебники 10 класс Все решебники
*размещая тексты в комментариях ниже, вы автоматически соглашаетесь с пользовательским соглашением