Упр.16.9 ГДЗ Мерзляк 10 класс Углубленный уровень (Алгебра)
Решение #1

Рассмотрим вариант решения задания из учебника Мерзляк, Номировский, Поляков 10 класс, Просвещение:
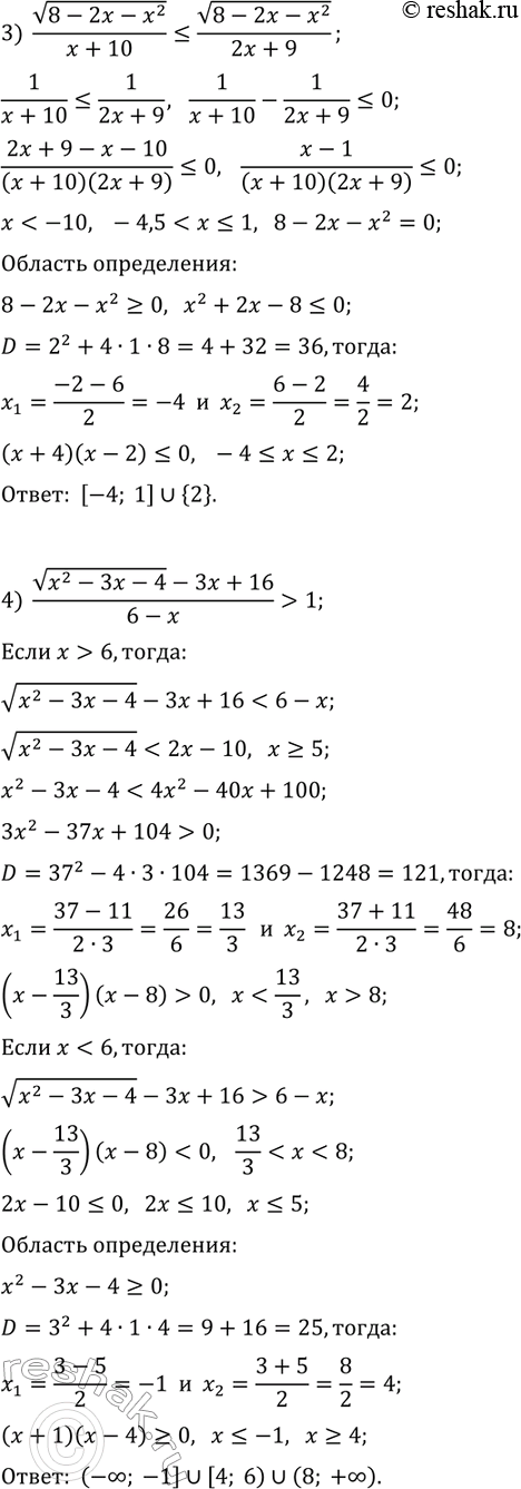
16.9. Решите неравенство:
1) v(2x-1)/(x-2) < 1; 3) v(8-2x-x^2)/(x+10)?v(8-2x-x^2)/(2x+9);
2) (1-v(1-4x^2))/x < 3; 4) (v(x^2-3x-4)-3x+16)/(6-x) > 1.
Похожие решебники
Популярные решебники 10 класс Все решебники
*размещая тексты в комментариях ниже, вы автоматически соглашаетесь с пользовательским соглашением