Упр.16.1 ГДЗ Мерзляк 10 класс Углубленный уровень (Алгебра)
Решение #1

Рассмотрим вариант решения задания из учебника Мерзляк, Номировский, Поляков 10 класс, Просвещение:
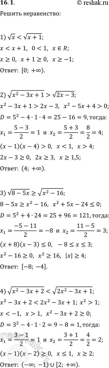
16.1. Решите неравенство:
1) vx < v(x+1); 3) v(8-5x)?v(x^2-16);
2) v(x^2-3x+1) > v(2x-3); 4) v(x^2-3x+2) < v(2x^2-3x+1).
Похожие решебники
Популярные решебники 10 класс Все решебники
*размещая тексты в комментариях ниже, вы автоматически соглашаетесь с пользовательским соглашением