Упр.104 ГДЗ Мерзляк 8 класс (Алгебра)
Решение #1
Решение #2
Решение #3

Рассмотрим вариант решения задания из учебника Мерзляк, Полонская, Якир 8 класс, Вентана-Граф:
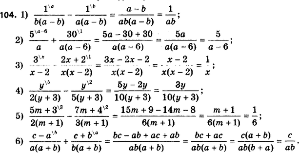
104. Упростите выражение:
1) 1/(b(a-b)) - 1/(a(a-b));
2) 5/a + 30/(a(a-6));
3) 3/(x-2) - (2x+2)/(x(x-2));
Похожие решебники
Популярные решебники 8 класс Все решебники
*К сожалению, временные проблемы с публикацией комментариев с мобильных устройств.