Упр.107 ГДЗ Мерзляк Полонский 8 класс (Алгебра)
Решение #1 (Учебник 2025)
Решение #2 (Учебник 2025)
Решение #3 (Учебник 2019)
Решение #4 (Учебник 2019)

Рассмотрим вариант решения задания из учебника Мерзляк, Полонская, Якир 8 класс, Просвещение:
Упростите выражение:
1) (4x-y)/(x2-y2) + 1/(x-y);
2) y2/(y2-81) - y/(y+9);
Упростите выражение:
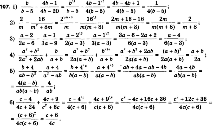
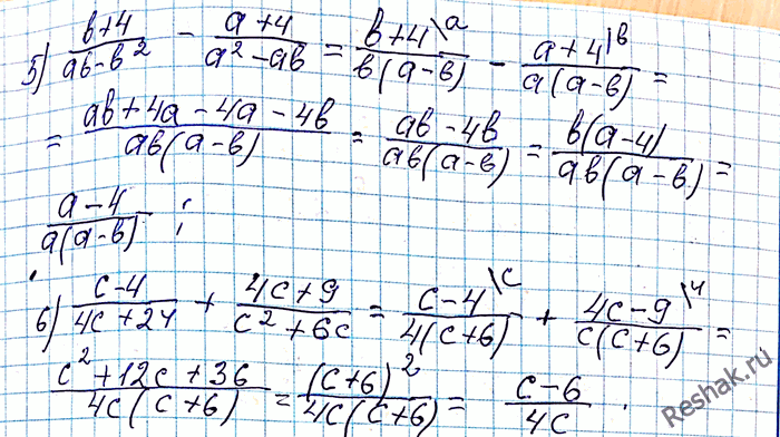
1) b/(b-5) - (4b-1)/(4b-20);
2) 2/m - 16/(m2+8m);
Похожие решебники
Популярные решебники 8 класс Все решебники
*К сожалению, временные проблемы с публикацией комментариев с мобильных устройств.