Упр.99 ГДЗ Мерзляк Полонский 8 класс (Алгебра)
Решение #1 (Учебник 2025)
Решение #2 (Учебник 2025)
Решение #3 (Учебник 2019)
Решение #4 (Учебник 2019)

Рассмотрим вариант решения задания из учебника Мерзляк, Полонская, Якир 8 класс, Просвещение:
Выполните сложение или вычитание дробей:
1) (9-5b)/b - (7-5c)/c;
2) (4d+7)/7d - (d-6)/6d;
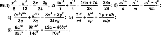
Представьте в виде дроби выражение:
1) x/8 - y/12;
2) 4a/7 + a/4;
3) m/n - n/m;
4) x2/2y + y/8x;
5) 7/cd + k/cp;
6) 6a/35c5 - 9b/14c2.
Похожие решебники
Популярные решебники 8 класс Все решебники
*К сожалению, временные проблемы с публикацией комментариев с мобильных устройств.