Упр.103 ГДЗ Мерзляк 8 класс (Алгебра)
Решение #1
Решение #2
Решение #3

Рассмотрим вариант решения задания из учебника Мерзляк, Полонская, Якир 8 класс, Вентана-Граф:
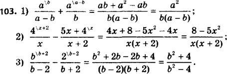
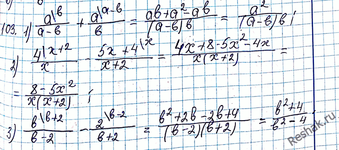
103. Представьте в виде дроби выражение:
1) a/(a-b) + a/b;
2) 4/x - (5x+4)/(x+2);
3) b/(b-2) - 2/(b+2).
Похожие решебники
Популярные решебники 8 класс Все решебники
*размещая тексты в комментариях ниже, вы автоматически соглашаетесь с пользовательским соглашением