Упр.98 ГДЗ Мерзляк 8 класс (Алгебра)
Решение #1
Решение #2
Решение #3

Рассмотрим вариант решения задания из учебника Мерзляк, Полонская, Якир 8 класс, Вентана-Граф:
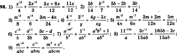
98. Выполните действия:
1) x/4 + 2x/3;
2) 5b/14 - b/7;
3) m/8 - n/6;
4) 4/x - 3/y;
5) m/4n + m/6n;
6) c/b - d/3b;
7) a/b2 + 1/ab4;
8) 11/5a - 2c/15ab;
9) m/abc + c/abm.
Похожие решебники
Популярные решебники 8 класс Все решебники
*К сожалению, временные проблемы с публикацией комментариев с мобильных устройств.