Упр.110 ГДЗ Мерзляк 8 класс (Алгебра)
Решение #1
Решение #2
Решение #3

Рассмотрим вариант решения задания из учебника Мерзляк, Полонская, Якир 8 класс, Вентана-Граф:
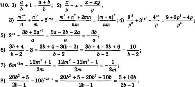
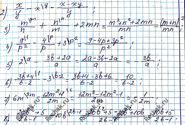
110. Представьте в виде дроби выражение:
1) a/b + 1;
2) x/y - x;
3) m/n + n/m + 2;
4) 9/p2 - 4/p + 3;
Похожие решебники
Популярные решебники 8 класс Все решебники
*размещая тексты в комментариях ниже, вы автоматически соглашаетесь с пользовательским соглашением