Упр.1.94 ГДЗ Дорофеев Суворова 9 класс (Алгебра)
Решение #1

Рассмотрим вариант решения задания из учебника Дорофеев, Суворова, Бунимович 9 класс, Просвещение:
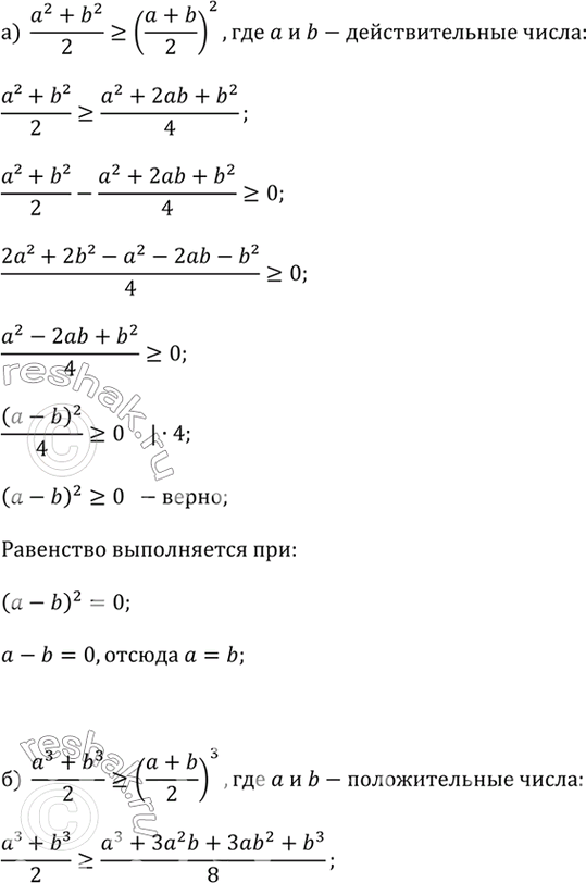
а) Докажите неравенство (a^2 + b^2) / 2 ? ((a + b) / 2)^2, где a и b - любые действительные числа.
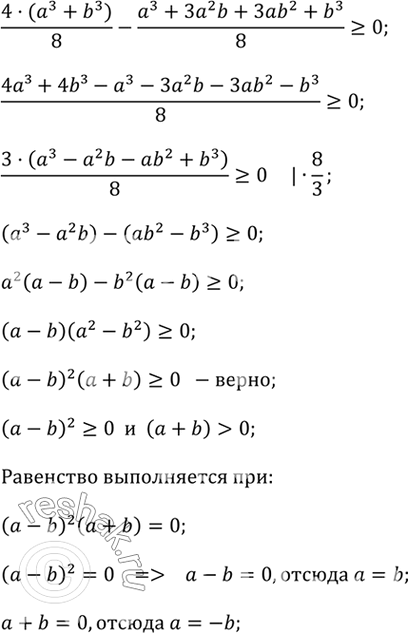
б) Докажите неравенство (a^3 + b^3) / 2 ? ((a + b) / 2)^3, где a и b - любые положительные числа.
В каждом случае определите, при каком условии выполняется равенство.
Популярные решебники 9 класс Все решебники
*К сожалению, временные проблемы с публикацией комментариев с мобильных устройств.