Упр.1.52 ГДЗ Дорофеев Суворова 9 класс (Алгебра)
Решение #1
Решение #2

Рассмотрим вариант решения задания из учебника Дорофеев, Суворова, Бунимович 9 класс, Просвещение:
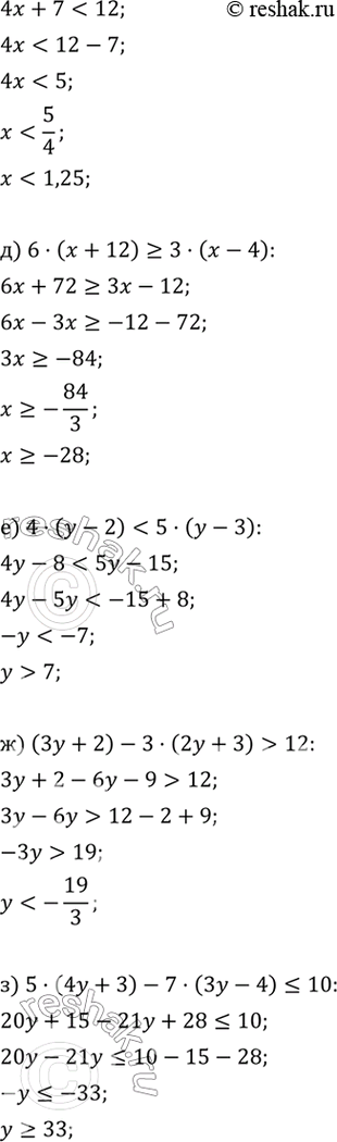
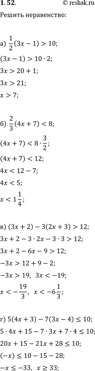
1.52. Решите неравенство:
а) 1/2(3x-1) > 10; в) (3x+2)-3(2x+3) > 12;
б) 2/3(4x+7) < 8; г) 5(4x+3)-7(3x-4)?10.
Популярные решебники 9 класс Все решебники
*К сожалению, временные проблемы с публикацией комментариев с мобильных устройств.