Упр.1.57 ГДЗ Дорофеев Суворова 9 класс (Алгебра)
Решение #1

Рассмотрим вариант решения задания из учебника Дорофеев, Суворова, Бунимович 9 класс, Просвещение:
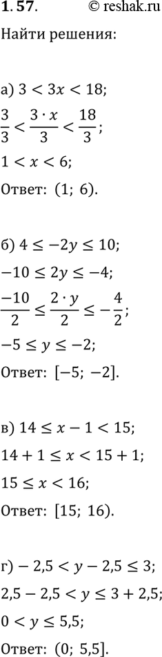
1.57. Решите двойное неравенство:
а) 3 < 3x < 18; в) 14?x-1 < 15;
б) 4?-2y?10; г) -2,5 < y-2,5?3.
Популярные решебники 9 класс Все решебники
*К сожалению, временные проблемы с публикацией комментариев с мобильных устройств.