Упр.1.53 ГДЗ Дорофеев Суворова 9 класс (Алгебра)
Решение #1

Рассмотрим вариант решения задания из учебника Дорофеев, Суворова, Бунимович 9 класс, Просвещение:
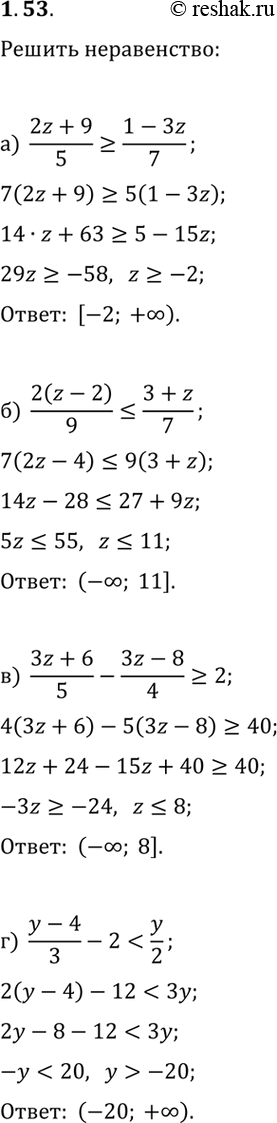
1.53. Решите неравенство:
а) (2z+9)/5?(1-3z)/7; в) (3z+6)/5-(3z-8)/4?2;
б) 2(z-2)/9?(3+z)/7; г) (y-4)/3-2 < y/2.
Популярные решебники 9 класс Все решебники
*размещая тексты в комментариях ниже, вы автоматически соглашаетесь с пользовательским соглашением