Упр.1.55 ГДЗ Дорофеев Суворова 9 класс (Алгебра)
Решение #1

Рассмотрим вариант решения задания из учебника Дорофеев, Суворова, Бунимович 9 класс, Просвещение:
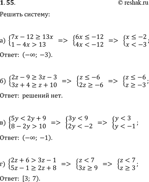
1.55. Решите систему неравенств:
а) {7x-12?13x, 1-4x > 13}; в) {5y < 2y+9, 8-2y > 10};
б) {2z-9?3z-3, 3z+4?z+10}; г) {2z+6 > 3z-1, 5z-1?2z+8}.
Популярные решебники 9 класс Все решебники
*размещая тексты в комментариях ниже, вы автоматически соглашаетесь с пользовательским соглашением