Упр.1.54 ГДЗ Дорофеев Суворова 9 класс (Алгебра)
Решение #1

Рассмотрим вариант решения задания из учебника Дорофеев, Суворова, Бунимович 9 класс, Просвещение:
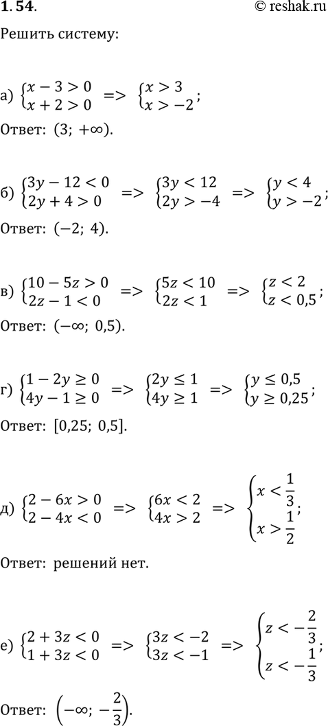
1.54. Решите систему неравенств:
а) {x-3 > 0, x+2 > 0}; в) {10-5z > 0, 2z-1 < 0}; д) {2-6x > 0, 2-4x < 0};
б) {3y-12 < 0, 2y+4x > 0}; г) {1-2y?0, 4y-1?0}; е) {2+3z < 0, 1+3z < 0}.
Популярные решебники 9 класс Все решебники
*размещая тексты в комментариях ниже, вы автоматически соглашаетесь с пользовательским соглашением