🔥ГДЗ под запретом?

Упр.1.19 ГДЗ Виленкин Жохов 6 класс Часть 1, Просвещение (Математика)

Решение #1 (Учебник 2023)

Изображение У продавца на конец рабочего дня остались непроданными 800 г конфет «Нива» по 156 р. за 1 кг и 1,7 кг конфет «Жар-птица». Он смешал оба сорта, получив ассорти по цене...

Решение #2 (Учебник 2023)

Изображение У продавца на конец рабочего дня остались непроданными 800 г конфет «Нива» по 156 р. за 1 кг и 1,7 кг конфет «Жар-птица». Он смешал оба сорта, получив ассорти по цене...

Решение #3 (Учебник 2021)

Изображение У продавца на конец рабочего дня остались непроданными 800 г конфет «Нива» по 156 р. за 1 кг и 1,7 кг конфет «Жар-птица». Он смешал оба сорта, получив ассорти по цене...

Решение #4 (Учебник 2021)

Изображение У продавца на конец рабочего дня остались непроданными 800 г конфет «Нива» по 156 р. за 1 кг и 1,7 кг конфет «Жар-птица». Он смешал оба сорта, получив ассорти по цене...
Дополнительное изображение

Рассмотрим вариант решения задания из учебника Виленкин, Жохов, Чесноков 6 класс, Просвещение:
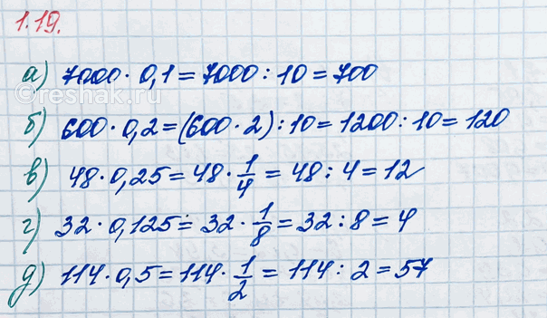
Как проще всего найти произведение:
а) 7000 · 0,1; б) 600 · 0,2; в) 48 · 0,25; г) 32 · 0,125; д) 114 · 0,5?

У продавца на конец рабочего дня остались непроданными 800 г конфет «Нива» по 156 р. за 1 кг и 1,7 кг конфет «Жар-птица». Он смешал оба сорта, получив ассорти по цене 196,8 р. По какой цене первоначально продавались конфеты «Жар-птица»?

По условию задачи, на конец рабочего дня осталось 800 г=0,8 кг конфет «Нива» по цене 156 р. за 1 кг и 1,7 кг конфет «Жар-птица».
Значит, стоимость оставшихся конфет «Нива»:
0,8•156=124,8 (р) – стоимость оставшихся конфет «Нива».
Пусть цена 1 кг конфет «Жар-птица» равна x рублей.
Тогда, стоимость оставшихся конфет «Жар-птица» равна 1,7x рублей.
Стоимость всех оставшихся конфет:
124,8+1,7x
Также известно, что продавец смешал оба сорта конфет, получив ассорти по цене 196,8 р. - среднее арифметическое.
Среднее арифметическое нескольких чисел – это сумма этих чисел, которую разделили на количество слагаемых, в нашем случае – на массу конфет.
Найдём массу оставшихся конфет:
0,8+1,7=2,5 (кг) – масса оставшихся конфет.
Составим уравнение:
(124,8+1,7x) :2,5=196,8
Решим уравнение относительно деления, то есть неизвестно делимое 124,8+1,7x.
Для того, чтобы найти делимое, необходимо частное умножить на делитель, получим
124,8+1,7x=196,8•2,5
Или, выполнив умножение,
124,8+1,7x=492
Теперь решим уравнение относительно сложения, то есть неизвестно слагаемое 1,7x.
Для того, чтобы найти неизвестное слагаемое, необходимо из суммы вычесть известное слагаемое, получим
1,7x=492-124,8
Или, выполнив вычитание,
1,7x=367,2
Неизвестен множитель x.
Для того, чтобы найти неизвестный множитель, необходимо произведение разделить на известный множитель, получим
x=367,2:1,7=3 672:17
x=216 (р.) – стоимость 1 кг конфет «Жар-птица».
Ответ: 216 рублей.

*Цитирирование задания со ссылкой на учебник производится исключительно в учебных целях для лучшего понимания разбора решения задания.
*К сожалению, временные проблемы с публикацией комментариев с мобильных устройств.