🔥ГДЗ под запретом?

Упр.1.17 ГДЗ Виленкин Жохов 6 класс Часть 1, Просвещение (Математика)

Решение #1 (Учебник 2023)

Изображение Маша сорвала с одной яблони 8 яблок по 150 г, 10 яблок по 180 г и 12 яблок по 120 г. Чему равна средняя масса одного яблока?Для начала найдём массу восьми яблок по...

Решение #2 (Учебник 2023)

Изображение Маша сорвала с одной яблони 8 яблок по 150 г, 10 яблок по 180 г и 12 яблок по 120 г. Чему равна средняя масса одного яблока?Для начала найдём массу восьми яблок по...

Решение #3 (Учебник 2021)

Изображение Маша сорвала с одной яблони 8 яблок по 150 г, 10 яблок по 180 г и 12 яблок по 120 г. Чему равна средняя масса одного яблока?Для начала найдём массу восьми яблок по...

Решение #4 (Учебник 2021)

Изображение Маша сорвала с одной яблони 8 яблок по 150 г, 10 яблок по 180 г и 12 яблок по 120 г. Чему равна средняя масса одного яблока?Для начала найдём массу восьми яблок по...

Рассмотрим вариант решения задания из учебника Виленкин, Жохов, Чесноков 6 класс, Просвещение:
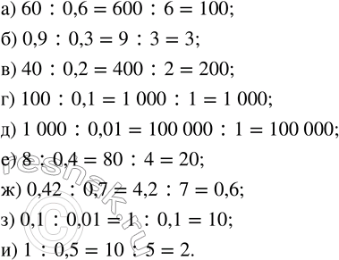
Найдите частное:
а) 60 : 0,6; г) 100 : 0,1; ж) 0,42 : 0,7;
б) 0,9 : 0,3; д) 1000 : 0,01; з) 0,1 : 0,01;
в) 40 : 0,2; е) 8 : 0,4; и) 1 : 0,5.

Маша сорвала с одной яблони 8 яблок по 150 г, 10 яблок по 180 г и 12 яблок по 120 г. Чему равна средняя масса одного яблока?

Для начала найдём массу восьми яблок по 150 г каждое.
Для этого умножим число яблок на 150 г, получим
8•150=1 200 (г) – масса яблок по 150 г.
Затем найдём массу десяти яблок по 180 г каждое.
Для этого умножим число яблок на 180 г, получим
10•180=1 800 (г) – масса яблок по 180 г.
Найдём массу двенадцати яблок по 120 г каждое.
Для этого умножим число яблок на 120 г, получим
12•120=1 440 (г) – масса яблок по 120 г.
Теперь найдём общую массу всех сорванных яблок, сложив получившиеся ранее результаты:
1 200+1 800+1 440=3 000+1 440=4 440 (г) – масса всех сорванных яблок.
Необходимо также найти количество сорванных яблок:
8+10+12=20+10=30 (шт) – яблок сорвала Маша.
Наконец, найдём среднюю массу одного яблока, разделив их общую массу на количество сорванных яблок:
4 440:30=148 (г) – средняя масса одного яблока.
Ответ: 148 г.

*Цитирирование задания со ссылкой на учебник производится исключительно в учебных целях для лучшего понимания разбора решения задания.
*К сожалению, временные проблемы с публикацией комментариев с мобильных устройств.