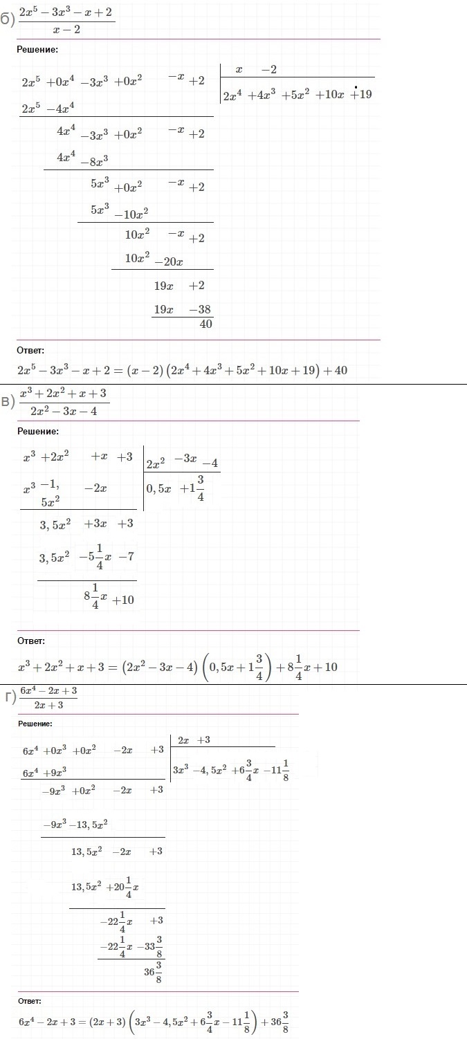
Упр.1.22 ГДЗ Мордковича 11 класс профильный уровень (Алгебра)
Решение #1
Решение #2(записки учителя)

Рассмотрим вариант решения задания из учебника Мордкович, Семенов 11 класс, Мнемозина:
1.21. Пусть р(х) — многочлен степени k и при всех значениях х
справедливо равенство р(-х) = -р(х). Докажите, что:
а) k — нечетное натуральное число;
б) коэффициенты многочлена р(х) при четных степенях х равны нулю.
Похожие решебники
Популярные решебники 11 класс Все решебники
*размещая тексты в комментариях ниже, вы автоматически соглашаетесь с пользовательским соглашением