Упр.1.24 ГДЗ Мордковича 11 класс профильный уровень (Алгебра)
Решение #1
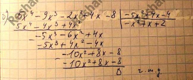
Решение #2(записки учителя)

Рассмотрим вариант решения задания из учебника Мордкович, Семенов 11 класс, Мнемозина:
1.23. а) Выпишите все приведенные многочлены, являющиеся делителями многочлена 3(х - 1)2 (х + 5).
б) Выпишите все приведенные многочлены третьей степени, являющиеся делителями многочлена х2(2х + 3)(х + 5)3.
Похожие решебники
Популярные решебники 11 класс Все решебники
*размещая тексты в комментариях ниже, вы автоматически соглашаетесь с пользовательским соглашением