🔥ГДЗ под запретом?

Упр.1.27 Старый учебник ГДЗ Мордковича 11 класс профильный уровень (Алгебра)

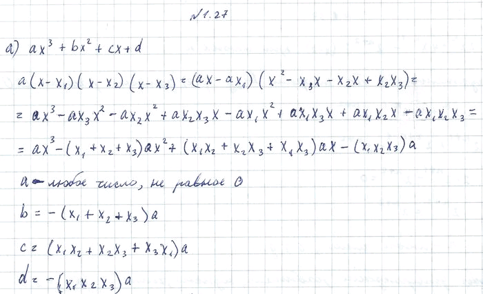
Решение #1(записки учителя)

Изображение 1.27. а) Пусть многочлен ах3 + bx2 + сх + d тождественно равен многочлену а(х - х1)(х - х2)(х - х3). Выразите коэффициенты а, Ь, с и d через числа х1, х2, х3.б)	Пусть...

Решение #2(записки школьника)

Изображение 1.27. а) Пусть многочлен ах3 + bx2 + сх + d тождественно равен многочлену а(х - х1)(х - х2)(х - х3). Выразите коэффициенты а, Ь, с и d через числа х1, х2, х3.б)	Пусть...
Дополнительное изображение

Рассмотрим вариант решения задания из учебника Мордкович, Семенов 11 класс, Мнемозина:
1.27. а) Пусть многочлен ах3 + bx2 + сх + d тождественно равен многочлену а(х - х1)(х - х2)(х - х3). Выразите коэффициенты а, Ь, с и d через числа х1, х2, х3.
б) Пусть многочлен х4 + ах3 + Ьх2 + сх + d тождественно равен многочлену (х - х1)(х - х2)(х - х3)(х - х4). Выразите коэффициенты а, Ь, с и d через числа x1, х2, х3, х4.
*Цитирирование задания со ссылкой на учебник производится исключительно в учебных целях для лучшего понимания разбора решения задания.
*К сожалению, временные проблемы с публикацией комментариев с мобильных устройств.