Упр.37.19 ГДЗ Мордкович 10-11 класс (Алгебра)
Решение #1
Решение #2

Рассмотрим вариант решения задания из учебника Мордкович, Семенов 11 класс, Мнемозина:
37.19
а) (a^0,4)^1/2 * a^0,8;
б) (10)корень(c) * (c^-1,2)^3/4;
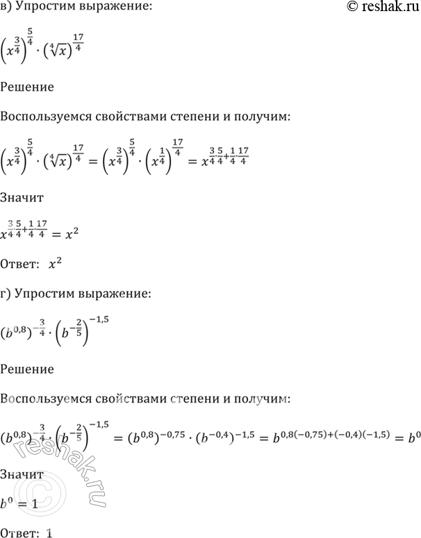
в) (x^3/4)^5/4 * ((4)корень(x))^17/4;
г) (b^0,8)^-3/4 * (b^-2/5)^-1,5.
Похожие решебники
Популярные решебники 11 класс Все решебники
*К сожалению, временные проблемы с публикацией комментариев с мобильных устройств.