Упр.32.38 ГДЗ Мордкович 10-11 класс (Алгебра)
Решение #1
Решение #2

Рассмотрим вариант решения задания из учебника Мордкович, Семенов 10-11 класс, Мнемозина:
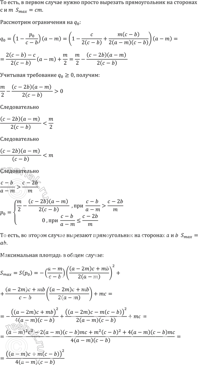
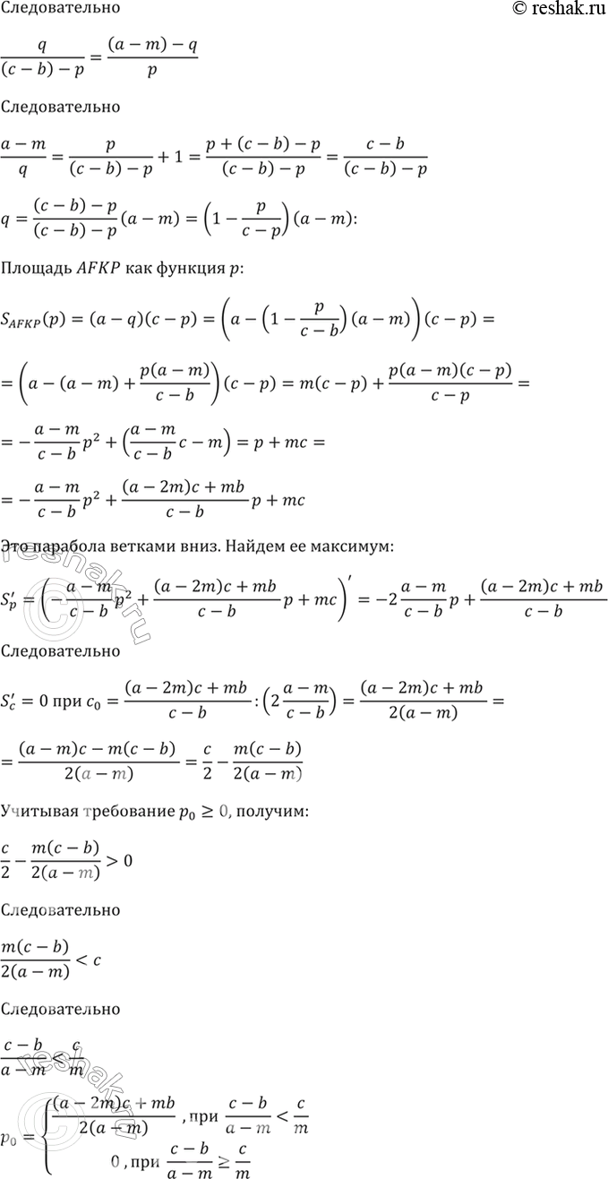
32.38 У пятиугольника ABCDE углы А, В и Е — прямые, АВ = а, ВС = Ь, АЕ = с, DE = m.
Впишите в пятиугольник прямоугольник наибольшей площади и вычислите эту площадь, если:
а) а = 7, b = 9, с = 3, m = 5;
б) а = 7, b = 18, с = 3, m = 1.
Похожие решебники
Популярные решебники 10-11 класс Все решебники
*размещая тексты в комментариях ниже, вы автоматически соглашаетесь с пользовательским соглашением