Упр.632 ГДЗ Макарычев Миндюк 9 класс (Алгебра)
Решение #1
Решение #2
Решение #3

Рассмотрим вариант решения задания из учебника Макарычев, Миндюк, Нешков 9 класс, Просвещение:
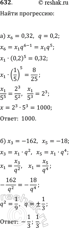
632. Последовательность (xn) — геометрическая прогрессия. Найдите: а) х1, если х6 = 0,32, q = 0,2; б) q, если х3 = -162, х5 = -18.
Похожие решебники
Популярные решебники 9 класс Все решебники
*К сожалению, временные проблемы с публикацией комментариев с мобильных устройств.