Упр.628 ГДЗ Макарычев Миндюк 9 класс (Алгебра)
Решение #1
Решение #2
Решение #3

Рассмотрим вариант решения задания из учебника Макарычев, Миндюк, Нешков 9 класс, Просвещение:
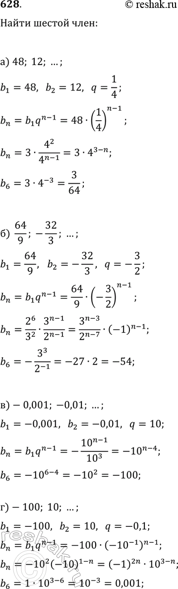
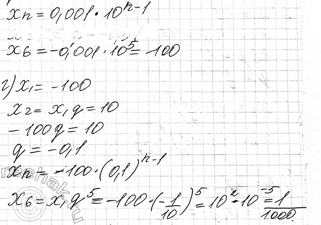
628. Найдите шестой и n-й члены геометрической прогрессии:
а) 48; 12;...;
б) 64/9; -32/3; ... ;
в) -0,001; -0,01; ... ;
г) -100; 10; ... .
Похожие решебники
Популярные решебники 9 класс Все решебники
*размещая тексты в комментариях ниже, вы автоматически соглашаетесь с пользовательским соглашением