Упр.531 ГДЗ Макарычев Миндюк 9 класс (Алгебра)
Решение #1
Решение #2
Решение #3

Рассмотрим вариант решения задания из учебника Макарычев, Миндюк, Нешков 9 класс, Просвещение:
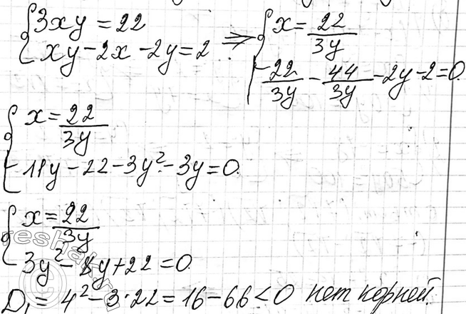
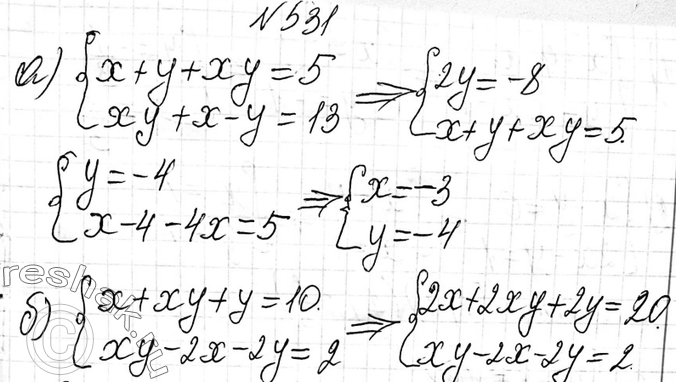
531. Решите систему уравнений:
а) система
x+y+xy=5,
xy+x-y=13;
б) система
x+xy+y=10,
xy-2x-2y=2.
Похожие решебники
Популярные решебники 9 класс Все решебники
*К сожалению, временные проблемы с публикацией комментариев с мобильных устройств.