Упр.783 ГДЗ Макарычев Миндюк 8 класс (Алгебра)
Решение #1 (Учебник 2024)
Решение #2 (Учебник 2019)
Решение #3 (Учебник 2019)

Рассмотрим вариант решения задания из учебника Макарычев, Миндюк, Нешков 8 класс, Просвещение:
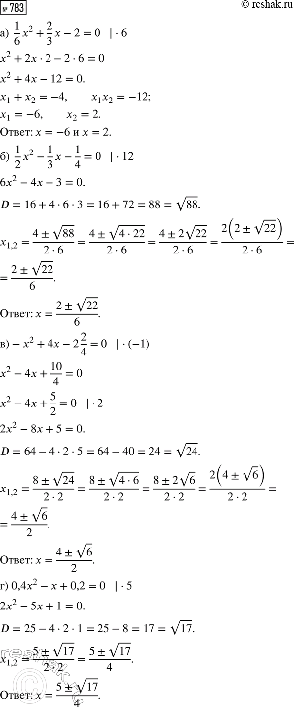
Найдите корни квадратного трёхчлена:
а) 1/6 x^2 + 2/3 x - 2; в) -x^2 + 4x - 2 2/4;
б) 1/2 x^2 - 1/3 x - 1/4; г) 0,4x^2 - x + 0,2.
Найдите абсолютную погрешность приближённого значения, полученного в результате округления:
а) числа 9,87 до единиц;
б) числа 124 до десятков;
в) числа 0,453 до десятых;
г) числа 0,198 до сотых.
Похожие решебники
Популярные решебники 8 класс Все решебники
*размещая тексты в комментариях ниже, вы автоматически соглашаетесь с пользовательским соглашением