Упр.786 ГДЗ Макарычев Миндюк 8 класс (Алгебра)
Решение #1 (Учебник 2024)
Решение #2 (Учебник 2019)
Решение #3 (Учебник 2019)

Рассмотрим вариант решения задания из учебника Макарычев, Миндюк, Нешков 8 класс, Просвещение:
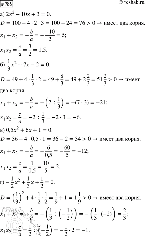
Докажите, что квадратный трёхчлен имеет корни, и найдите их сумму и произведение:
а) 2x^2 - 10x + 3; в) 0,5x^2 + 6x + 1;
б) 1/3 x^2 + 7x - 2; г) -1/2 x^2 + 1/3 x + 1/2.
На упаковке простокваши написано, что её надо хранить при температуре 4 ± 2 °С. В каких границах заключено значение температуры t °С, допустимое для хранения?
Похожие решебники
Популярные решебники 8 класс Все решебники
*размещая тексты в комментариях ниже, вы автоматически соглашаетесь с пользовательским соглашением