Упр.779 ГДЗ Макарычев Миндюк 8 класс (Алгебра)
Решение #1 (Учебник 2024)
Решение #2 (Учебник 2024)
Решение #3 (Учебник 2024)
Решение #4 (Учебник 2019)
Решение #5 (Учебник 2019)
Решение #6 (Учебник 2019)

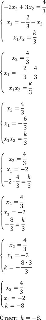
Рассмотрим вариант решения задания из учебника Макарычев, Миндюк, Нешков 8 класс, Просвещение:
Известно, что х1 и х2 — корни уравнения 3x2 + 2х + k = 0, причём 2x1 = —3x2. Найдите к.
Лист жести имеет форму квадрата. После того как от него отрезали полосу шириной 5 дм, площадь оставшейся части листа стала равной 6 дм2. Каковы размеры первоначального листа жести?
Похожие решебники
Популярные решебники 8 класс Все решебники
*размещая тексты в комментариях ниже, вы автоматически соглашаетесь с пользовательским соглашением