Упр.789 ГДЗ Макарычев Миндюк 8 класс (Алгебра)
Решение #1 (Учебник 2024)
Решение #2 (Учебник 2019)
Решение #3 (Учебник 2019)
Решение #4 (Учебник 2019)

Рассмотрим вариант решения задания из учебника Макарычев, Миндюк, Нешков 8 класс, Просвещение:
Выделите квадрат двучлена из квадратного трёхчлена:
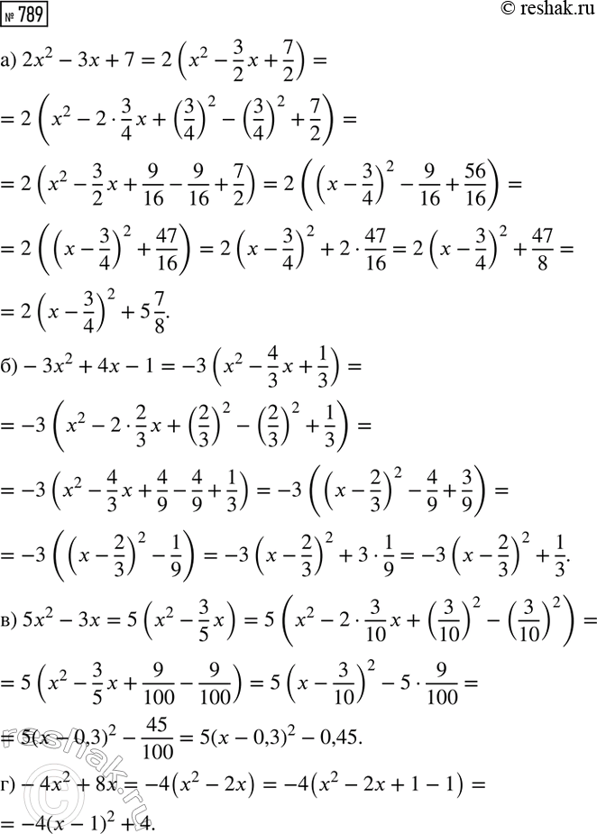
а) 2x^2 - 3x + 7; в) 5x^2 - 3x;
б) -3x^2 + 4x - 1; г) -4x^2 + 8x.
Определяя массу мешка картофеля с точностью до 1 кг, нашли, что она равна 32 кг. Может ли масса этого мешка, измеренная с точностью до 0,1 кг, оказаться равной:
а) 31,4; б) 32,5; в) 33,2; г) 30,7?
Похожие решебники
Популярные решебники 8 класс Все решебники
*К сожалению, временные проблемы с публикацией комментариев с мобильных устройств.