Упр.778 ГДЗ Макарычев Миндюк 8 класс (Алгебра)
Решение #1 (Учебник 2024)
Решение #2 (Учебник 2024)
Решение #3 (Учебник 2024)
Решение #4 (Учебник 2019)
Решение #5 (Учебник 2019)
Решение #6 (Учебник 2019)

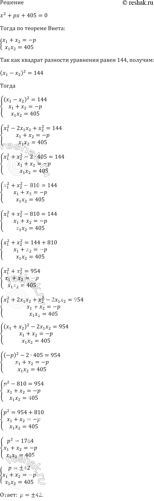
Рассмотрим вариант решения задания из учебника Макарычев, Миндюк, Нешков 8 класс, Просвещение:
Квадрат разности корней уравнения х2 + рх + 405 = 0 равен 144. Найдите р.
(Задача-исследование.) Сравните сумму длин медиан треугольника с его периметром.
1) Начертите произвольный треугольник ABC и проведите медиану ВО.
2) На луче ВО отложите отрезок OD = ВО и соедините точку D с точками А и С. Какой вид имеет четырёхугольник ABCD?
3) Рассмотрите треугольник ABD. Сравните 2mb с суммой ВС + АВ (mb — медиана ВО).
4) Составьте аналогичные неравенства для 2mа и 2mс.
5) Используя сложение неравенств, оцените сумму mа + mb + mc.
Похожие решебники
Популярные решебники 8 класс Все решебники
*размещая тексты в комментариях ниже, вы автоматически соглашаетесь с пользовательским соглашением