Упр.682 ГДЗ Макарычев Миндюк 8 класс (Алгебра)
Решение #1 (Учебник 2024)
Решение #2 (Учебник 2019)
Решение #3 (Учебник 2019)
Решение #4 (Учебник 2019)

Рассмотрим вариант решения задания из учебника Макарычев, Миндюк, Нешков 8 класс, Просвещение:
(Для работы в парах.) Постройте график уравнения:
а) (x - 5)(у + 6) = 0; б) (х - 4)(х + 2) = 0.
1) Обсудите, какая фигура является графиком уравнения в каждом случае.
2) Распределите, кто выполняет задание а), а кто — задание б), и выполните их.
3) Проверьте друг у друга, правильно ли построены графики уравнений.
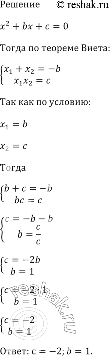
Известно, что коэффициенты b и с уравнения х2 + bх + с = 0, где с =/ 0, являются его корнями. Найдите b и с.
Похожие решебники
Популярные решебники 8 класс Все решебники
*К сожалению, временные проблемы с публикацией комментариев с мобильных устройств.