Упр.686 ГДЗ Макарычев Миндюк 8 класс (Алгебра)
Решение #1 (Учебник 2024)
Решение #2 (Учебник 2019)
Решение #3 (Учебник 2019)
Решение #4 (Учебник 2019)

Рассмотрим вариант решения задания из учебника Макарычев, Миндюк, Нешков 8 класс, Просвещение:
Упростите выражение:
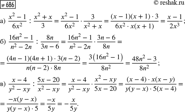
а) (x^2 - 1)/6x^2 : (x^2 + x)/3;
б) (16n^2 - 1)/(n^2 - 2n) : 8n/(3n - 6);
в) (x - 4)/(y^2 - xy) : (5x - 20)/(x^2 - xy).
Известно, что х1 и х2 — корни уравнения 3x2 + 2х + k = 0, причём 2x1 = —3x2. Найдите к.
Похожие решебники
Популярные решебники 8 класс Все решебники
*К сожалению, временные проблемы с публикацией комментариев с мобильных устройств.