Упр.685 ГДЗ Макарычев Миндюк 8 класс (Алгебра)
Решение #1 (Учебник 2024)
Решение #2 (Учебник 2019)
Решение #3 (Учебник 2019)
Решение #4 (Учебник 2019)

Рассмотрим вариант решения задания из учебника Макарычев, Миндюк, Нешков 8 класс, Просвещение:
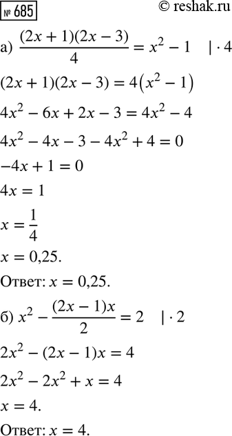
Решите уравнение:
а) ((2x + 1)(2x - 3))/4 = x^2 - 1;
б) x^2 - ((2x - 1)x)/2 = 2.
Квадрат разности корней уравнения х2 + рх + 405 = 0 равен 144. Найдите р.
Похожие решебники
Популярные решебники 8 класс Все решебники
*К сожалению, временные проблемы с публикацией комментариев с мобильных устройств.