Упр.617 ГДЗ Макарычев Миндюк 8 класс (Алгебра)
Решение #1 (Учебник 2024)
Решение #2 (Учебник 2019)
Решение #3 (Учебник 2019)
Решение #4 (Учебник 2019)

Рассмотрим вариант решения задания из учебника Макарычев, Миндюк, Нешков 8 класс, Просвещение:
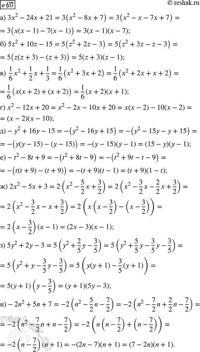
Разложите на множители квадратный трёхчлен:
а) 3х^2 - 24х + 21; г) х^2 - 12х + 20; ж) 2х^2 - 5х + 3;
б) 5z^2 + 10z - 15; д) -y^2 + 16y - 15; з) 5y^2 + 2y - 3;
в) 6х^2 + 2х + 3; е) -t^2 - 8t + 9; и) -2n^2 + 5n + 7.
Знаменатель обыкновенной дроби больше её числителя на 3. Если к числителю этой дроби прибавить 7, а к знаменателю — 5, то она увеличится на 1/2. Найдите эту дробь.
Похожие решебники
Популярные решебники 8 класс Все решебники
*К сожалению, временные проблемы с публикацией комментариев с мобильных устройств.