Упр.608 ГДЗ Макарычев Миндюк 8 класс (Алгебра)
Решение #1 (Учебник 2024)
Решение #2 (Учебник 2019)
Решение #3 (Учебник 2024)

Рассмотрим вариант решения задания из учебника Макарычев, Миндюк, Нешков 8 класс, Просвещение:
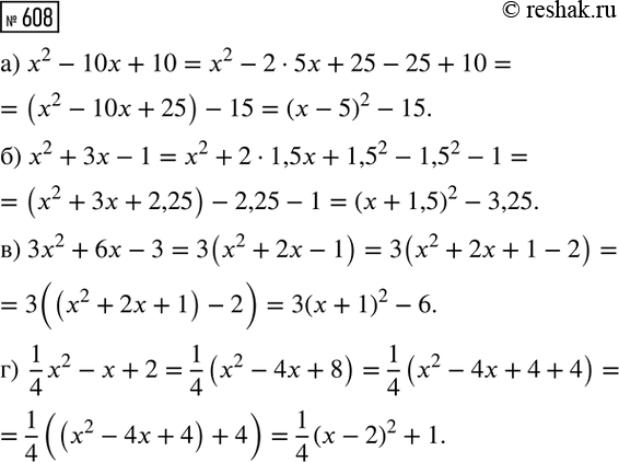
Выделите квадрат двучлена из квадратного трёхчлена:
а) x^2 - 10x + 10; в) 3x^2 + 6x - 3;
б) x^2 + 3x - 1; г) 1/4 x^2 - x + 2.
Решите уравнение:
Похожие решебники
Популярные решебники 8 класс Все решебники
*К сожалению, временные проблемы с публикацией комментариев с мобильных устройств.