Упр.602 ГДЗ Макарычев Миндюк 8 класс (Алгебра)
Решение #1 (Учебник 2024)
Решение #2 (Учебник 2019)
Решение #3 (Учебник 2019)

Рассмотрим вариант решения задания из учебника Макарычев, Миндюк, Нешков 8 класс, Просвещение:
Найдите корни квадратного трёхчлена:
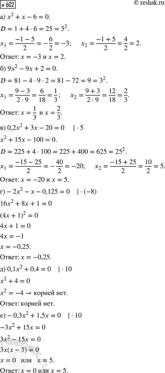
а) х^2 + х - 6; г) -2х^2 - х - 0,125;
б) 9х^2 - 9х + 2; д) 0,1х^2 + 0,4;
в) 0,2х^2 + 3х - 20; е) -0,3х^2 + 1,5х.
Найдите корни уравнения:
Похожие решебники
Популярные решебники 8 класс Все решебники
*размещая тексты в комментариях ниже, вы автоматически соглашаетесь с пользовательским соглашением