Упр.603 ГДЗ Макарычев Миндюк 8 класс (Алгебра)
Решение #1 (Учебник 2024)
Решение #2 (Учебник 2019)
Решение #3 (Учебник 2024)

Рассмотрим вариант решения задания из учебника Макарычев, Миндюк, Нешков 8 класс, Просвещение:
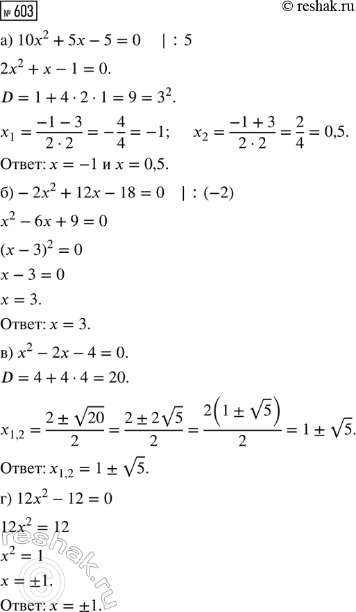
Найдите корни квадратного трёхчлена:
а) 10х^2 + 5х - 5; в) х^2 - 2х - 4;
б) -2х^2 + 12х - 18; г) 12х^2 - 12.
Решите уравнение:
Похожие решебники
Популярные решебники 8 класс Все решебники
*К сожалению, временные проблемы с публикацией комментариев с мобильных устройств.