Упр.599 ГДЗ Макарычев Миндюк 8 класс (Алгебра)
Решение #1 (Учебник 2024)
Решение #2 (Учебник 2019)
Решение #3 (Учебник 2019)
Решение #4 (Учебник 2019)

Рассмотрим вариант решения задания из учебника Макарычев, Миндюк, Нешков 8 класс, Просвещение:
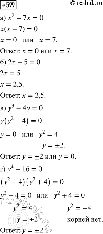
Найдите корни многочлена:
а) х^2 - 7х; б) 2х - 5; в) у^3 - 4у; г) у^4 - 16.
Найдите стороны прямоугольника, если известно, что одна из них на 14 см больше другой, а диагональ прямоугольника равна 34 см.
Похожие решебники
Популярные решебники 8 класс Все решебники
*К сожалению, временные проблемы с публикацией комментариев с мобильных устройств.