№874 ГДЗ Рымкевич 10-11 класс (Физика)
Решение #1
Решение #2
Решение #3

Рассмотрим вариант решения задания из учебника Рымкевич 10-11 класс, Дрофа:
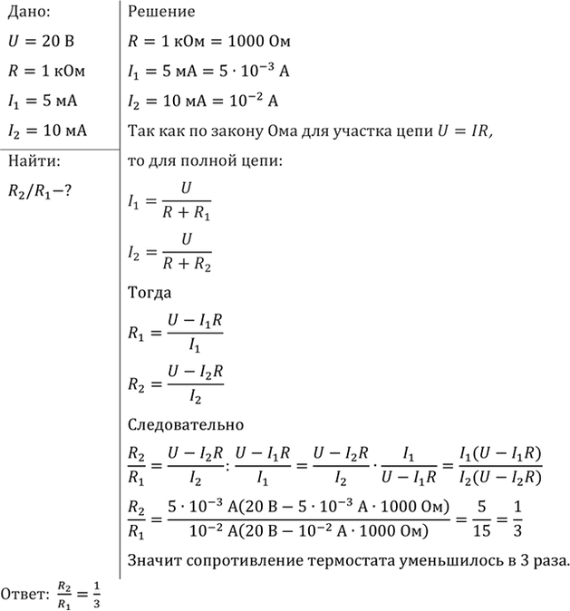
К концам цепи, состоящей из последовательно включенных термистора и резистора сопротивлением 1 кОм, подано напряжение 20 В. При комнатной температуре сила тока в цепи была 5 мА. Когда термистор опустили в горячую воду, сила тока в цепи стала 10 мА. Во сколько раз изменилось в результате нагрева сопротивление термистора?
Популярные решебники 10-11 класс Все решебники
*К сожалению, временные проблемы с публикацией комментариев с мобильных устройств.