Решаем устно Параграф 11 ГДЗ Мерзляк Полонский 5 класс (Математика)
Решение #1 (Учебник 2024)
Решение #2 (Учебник 2019)

Рассмотрим вариант решения задания из учебника Мерзляк, Полонский, Якир 5 класс, Просвещение:
1. Найдите значение выражения 53 + х, если: 1) х = 29; 2) х = 61.
2. Найдите значение выражения 12//, если: 1) у = 7; 2) у = 20.
3. Найдите по формуле пути s = 50/ расстояние (в метрах), которое
проходит Петя: 1) за 4 мин; 2) за 10 мин. Что означает числовой множитель в этой формуле?
4. Число а на 10 больше, чем число Ь. В виде каких из следующих равенств это можно записать:
1) а + b = 10; 3) h — а — 10; 5) b + 10 = «?
2) а - b = 10; 4) а - 10 = 1г,
5. На одну чашу весов поставили несколько гирь по 2 кг, а на другую — по 3 кг, после чего весы пришли в равновесие. Сколько поставили гирь каждого вида, если всего их поставили 10?
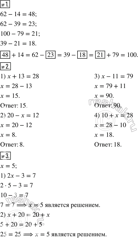
1. Каких чисел не хватает в цепочке вычислений?
___+14=62-___=39-___=___+79=100
2. Решите уравнение:
1) x+13=28; 3) x-11=79;
2) 20-х=12; 4) 10+x=28.
3. Корнем каких из следующих уравнении является число 5:
1) 2x-3=7; 4) x·x·x+25=150;
2) x+20=20+x; 5) 0·x=10;
3) 36-3x=20; 6) x+12=22-x?
4. У Пети и Миши было поровну конфет. Петя отдал Мише 8 конфет. На сколько конфет у Миши стало больше, чем у Пети?
Похожие решебники
Популярные решебники 5 класс Все решебники
*размещая тексты в комментариях ниже, вы автоматически соглашаетесь с пользовательским соглашением