🔥ГДЗ под запретом?

Проверьте себя Пункт 31 ГДЗ Виленкин Жохов 6 класс Часть 2, Просвещение (Математика)

Решение #1 (Учебник 2023)

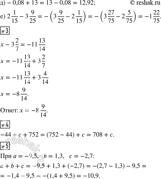
Изображение Проверьте себя Пункт 31 ГДЗ Виленкин Жохов 6 класс Часть 2, Просвещение
Дополнительное изображение

Решение #2 (Учебник 2023)

Изображение Проверьте себя Пункт 31 ГДЗ Виленкин Жохов 6 класс Часть 2, Просвещение

Рассмотрим вариант решения задания из учебника Виленкин, Жохов, Чесноков 6 класс, Просвещение:
Проверочная работа
1. Какой знак имеет сумма:
а) двух положительных чисел;
б) двух отрицательных чисел;
в) двух чисел с разными знаками, если больший модуль у отрицательного числа?
Приведите примеры.
2. Вычислите:
а) 15 - 16; в) -1 3/14 + 2 11/21; д) -0,08 + 13;
б) -3,17 + 3,17; г) -379 + 948; е) 2 1/15 - 3 9/25.
3. Решите уравнение х - 3 2/7 = -11 13/14.
4. Упростите выражение -44 + с + 752.
5. Найдите значение выражения а + b + с при а = -9,5, b = 1,3, с = -2,7.

*Цитирирование задания со ссылкой на учебник производится исключительно в учебных целях для лучшего понимания разбора решения задания.
*К сожалению, временные проблемы с публикацией комментариев с мобильных устройств.