Дополнительное упражнение Параграф 5 ГДЗ Мерзляк 9 класс (Алгебра)
Решение #1 (Учебник 2024)

Рассмотрим вариант решения задания из учебника Мерзляк, Полонская, Якир 9 класс, Просвещение:
Решите уравнение:
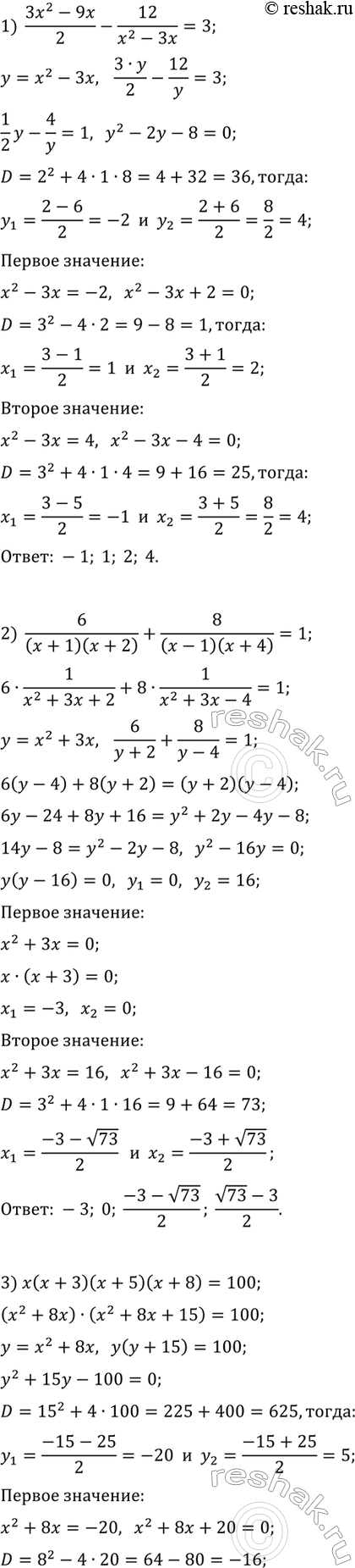
1) (3x^2-9x)/2-12/(x^2-3x)=3;
2) 6/((x+1)(x+2))+8/((x-1)(x+4))=1;
3) x(x+3)(x+5)(x+8)=100;
4) (x+2)(x+3)(x+8)(x+12)=4x^2;
5) 7(x+1/x)-2(x^2+1/x^2)=9;
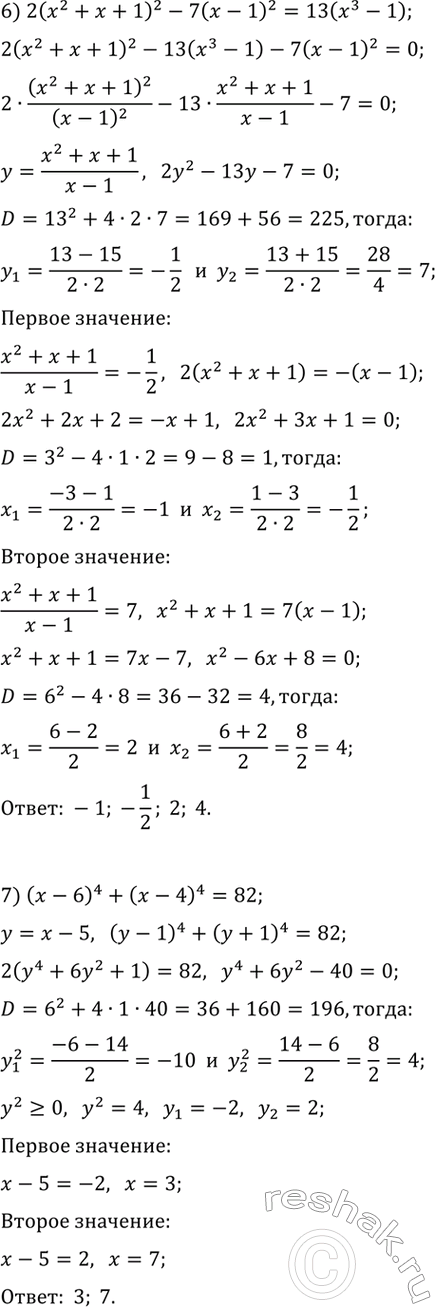
6) 2(x^2+x+1)^2-7(x-1)^2=13(x^3-1);
7) (x-6)^4+(x-4)^4=82.
Похожие решебники
Популярные решебники 9 класс Все решебники
*К сожалению, временные проблемы с публикацией комментариев с мобильных устройств.